Two-Body Atomic System in a One-Dimensional Anharmonic
Trap: The Energy Spectrum
I. S. Ishmukhamedov, D. T. Aznabayev, and S. A. Zhaugasheva
Joint Institute for Nuclear Research, Dubna, Moscow oblast, 141980 Russia
Al-Farabi Kazakh National University, Almaty, Kazakhstan
e-mail: ishmukh@theor.jinr.ru
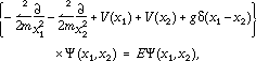
AbstactWe numerically investigate the following two-body stationary Schrödinger equation (SE):
where x1, x2 

, V(xi) = V0sin2 (kxxi) is the potential describing the interaction of atoms with a trap and g
(x1 x2) is
the interatomic potential. Previously, a similar problem has been solved analytically for the harmonic interac-
tion Vh(xi) =
with the trap, which leads to the separation of coordinates y =
x =
for the
center-of-mass and relative motion. The anharmonicity of the trap couples these motions and, therefore, the
problem becomes significantly more complicated. In previous works, the anharmonicity Va = V Vh of the trap has
been taken into account in the framework of perturbation theory. In this work, the energy level shifts of a two-
body atomic system are calculated beyond the perturbation theory for different magnitudes of parameter g of
the interatomic interaction. The results are compared to those computed using the perturbation theory.
DOI: 10.1134/S1547477115050076
Pleiades Publishing home page | journal home page | top
If you have any problems with this server, contact webmaster.